ÓªÒµ×Éѯ
Öйú£º
Email: marketing@medicilon.com.cn
ÓªÒµ×ÉѯרÏߣº400-780-8018
£¨½öÏÞЧÀÍ×Éѯ£¬ÆäËûÊÂÒËÇ벦´ò´¨É³×ܲ¿µç»°£©
´¨É³×ܲ¿µç»°: +86 (21) 5859-1500
ÍâÑó£º
+1(781)535-1428(U.S.)
0044 7790 816 954 (Europe)
Email:marketing@medicilon.com



ë®´ú»¯ºÏÎïÊÇÖ¸½«»¯ºÏÎï·Ö×ÓÖÐij¸ö»òijЩ̼Çâ¼üÖеÄÇâÔ×ÓÌæ»»³Éë®Ô×Óºó»ñµÃµÄÐµĻ¯ºÏÎï¡£ËüÊÇÒ»ÀàÖ÷ÒªµÄ¸ß¸½¼ÓÖµ»¯Ñ§Æ·£¬³ý×÷ΪÈܼÁ±»ÆÕ±éÓ¦ÓÃÓں˴ʲÕñÁìÓòÍ⣬ҲÊǽüÄêÀ´ÐÂÒ©Ñз¢ÁìÓòÈÈÃÅÖ®Ò»¡£ë®´ú»¯ºÏÎïÔÚÉúÎï´úлÆÊÎö¡¢ºË´Å¹²Õñ¡¢¹âµçÖÊÁÏ¡¢¿ÆÑмì²â¡¢ÖÐÐÄÌå±ê¼Ç¡¢Ò©Î↑·¢¡¢ÎÛȾԴ¸ú×ٵȳ¡¾°Õ¹ÏÖ³öÓÅÒìÓ¦ÓÃÔ¶¾°¡£×ðÁú¿Ê±ÔöÇ¿ÁËë®´úÒ©ÎïÉè¼ÆÓëÑо¿ÄÜÁ¦£¬½¨ÉèÁ˽ÏΪÆÕ±éµÄë®´úÆö¿é£¬¾ß±¸¸»ºñµÄë®´úÊÖÒÕ¡£
ÓÉÓÚ̼뮼üÎȹÌÐÔÓÅÓÚ̼Çâ¼ü£¬ÔÚÒ©Î↑·¢ÖУ¬ë®´ú·´Ó¦¿ÉÓÃÓÚ¸ÄÉÆÒ©ÎïÒ©´ú¶¯Á¦Ñ§ÌØÕ÷¡£»ùÓÚÆäÆæÒìÐÔÄÜ£¬ë®ÐÞÊÎÊÇË¢ÐÂÒ©ÎïÐÔ×ÓµÄÒªÁìÖ®Ò»£¬Í¨¹ý¶ÔÒ©Îï·Ö×ӵĻîÐÔλµã¾ÙÐÐë®Ìæ»»£¬¿ÉÏÔÖøÑÓÉìÒ©Îï´úлʱ¼ä¡¢½µµÍÒ©ÎïʹÓüÁÁ¿¡£
ë®´úÒ©ÎïÊǰÑÒ©Îï·Ö×ÓÉÏÌØ¶¨Î»µãµÄÇâÔ×ÓÓÃë®Ô×ÓÌæ»»Ëù»ñµÃµÄÒ©ÎÆäÖÐÓ¦ÓÃ×îÆÕ±éµÄÊǽ«Ì¼-Çâ¼üÌæ»»³ÉΪ̼-뮼ü¡£Í¨¹ýÌæ»»£¬¿ÉÒÔ¸ÄÉÆÒ©ÎïµÄÒ©´ú¶¯Á¦Ñ§»ò¶¾ÐÔ¡£ÔÚÒÑÍùµÄ20ÄêÀº£ÄÚÍâÐí¶à¹«Ë¾ÖÂÁ¦ÓÚë®´úÒ©ÎïµÄ¿ª·¢£º2017 Äê4Ô£¬ÃÀ¹úʳÎïÒ©Æ·¼àÊÓÖÎÀí¾Ö£¨FDA£©Åú×¼ÁËÈ«ÇòÊ׸öë®´úÒ©Îïë®´ú¶¡±½ÄÇàºÆ¬£¨Deuterabenazine£©ÉÏÊУ¬ÓÃÓÚÓÐÊýµÄ³£È¾É«ÌåÏÔÐÔÒÅ´«²¡ºàÍ¢¶ÙÎ赸²¡¡£
2022Ä꣬FDAÅú×¼ÁËÁíÒ»¿îÈ«ÐÂë®´úÒ©ÎïDeucravacitinib£¬¸ÃÒ©Îï±»ÆÕ±éÓ¦ÓÃÓÚÖÎÁƶàÖÖ×ÔÉíÃâÒßÐÔ¼²²¡£¬°üÀ¨¾µä·¶¸ÉÔïÖ¢ºòȺ¡¢Àà·çʪÐÔÊàŦÑ׺ÍţƤѢµÈ¡£2021Ä꣬ÖйúºÍÎÚ×ȱð¿Ë˹̹»®·ÖÅú×¼ÁËDonafenibºÍVV116µÄÉÏÊС£Æù½ñΪֹ£¬ÖÁÉÙÓÐ15¸öºòѡҩÎïÕýÔÚ¾ÙÐÐÁÙ´²ÊÔÑ飬ÆäÖÐ6¸ö´¦ÓÚIIIÆÚ¡£

ͼ1.ÒÑÅú×¼ÉÏÊеÄë®´úÒ©Îï
Ò©ÎïÑз¢ÕßʹÓÃë®´ú¸Ä¹¹ÒýÆðµÄÒ©Îï´úлËÙÂʸıä,Ö÷Òª´ÓÒÔÏ·½ÃæÓÅ»¯Ò©Î
¢Ùë®´ú¸Ä¹¹Í¨³£»á½µµÍɨ³ýÂÊ£¬ÔöÌíÒ©Îï°ëË¥ÆÚ£¬´Ó¶øÔöÌíÌåÑ»·Ì»Â¶Á¿£»
¢Ú¹ØÓÚ¾ßÓÐÏÔÖøÊ×¹ýЧӦµÄÒ©Î뮴ú¸Ä¹¹¿É½µµÍÆäÊ×¹ýЧӦ£¬´Ó¶øÔöÌí¿Ú·þÉúÎïʹÓöȣ»
¢Ûë®´ú¸Ä¹¹¿ÉïÔÌÌØ¶¨´úл²úÆ·µÄÐγɣ¬´Ó¶ø¸ÄÉÆ´úлÆ×£»
¢ÜÁ¢ÌåÒì¹¹ÌåÊÖÐÔÖÐÐĵÄë®´ú¸Ä¹¹¿ÉïÔÌÁ¢ÌåÒì¹¹Ìå¼äµÄÏ໥ת»¯£¬´Ó¶øÎȹ̼òµ¥Á¢ÌåÒì¹¹Ìå¡£
ÔÚ´¦Öóͷ£ºÍÆÊÎöÉúÎïÑùƷʱ£¬¾³£»á±¬·¢´ý²âÎïµÄËðʧºÍÐźŲ¨¶¯£¬ÕâЩÇéÐοÉÄÜÔÚ±¬·¢ÔÚÑùÆ·µÄ×ªÒÆ£¬Îü¸½£¬Õô·¢ºÍ½øÑùµÈÀú³ÌÖУ¬ÓÈÆäÊÇÔÚÖÊÆ×¼ì²âµÄÀú³ÌÖУ¬ÓÉÓÚ»ùÖÊЧӦ»áÒýÆð´ý²âÎï¼ì²âÐźŵÄת±ä£¬Í¨¹ýÏòͳһÆÊÎöÅúÖеÄËùÓÐÑùÆ·ÖмÓÈëµÈÁ¿µÄºÍÆÊÎöÎï¾ßÓÐÏàËÆÎïÀí»¯Ñ§ÐÔ×ÓµÄÄڱ꣬²¢ÇÒÓÃÆÊÎöÎïºÍÄÚ±êµÄÏìÓ¦Öµ±È¾ÙÐж¨Á¿ÅÌË㣬¾ø´ó¶à²¿·ÖÆÊÎöÎïµÄÐźŲ¨¶¯ºÍÁ¿ÉϵÄËðʧ¶¼¿ÉÒÔ»ñµÃУÕý£¬Òò´ËʹÓúÏÊʵÄÄÚ±ê¿ÉÒÔ¼«´óµÄÌá¸ßÆÊÎöЧ¹ûµÄ׼ȷ¶ÈºÍϸÃܶÈÒÔ¼°ÒªÁìµÄ¿É¿¿ÐÔ¡£
ÄÚ±êÒ»Ñùƽ³£À´Ëµ·ÖΪÁ½ÖÖÀàÐÍ£¬¼´½á¹¹ÀàËÆÎïÄÚ±êºÍÍ¬Î»ËØ±ê¼ÇÄڱꡣÔÚʵÑ鹨ÓÚÒªÁìµÄϸÃܶȣ¬×¼È·¶ÈºÍÎȹÌÐÔÓÐÒªÇóµÄÌõ¼þÏ£¬Ó¦¾¡¿ÉÄÜʹÓÃÍ¬Î»ËØ±ê¼ÇÄڱ꣬²¢ÇÒÏà±ÈÀàËÆÎïÄڱ꣬ËüÄÜÍØ¿íÒªÁìµÄÏßÐÔ¹æÄ£¡£
Í¬Î»ËØÊ¾×ÙÊÖÒÕ»¹¾ßÓÐѸËٶȸߡ¢×¨ÊôÐÔÇ¿¡¢ÊÊÓÃÐԹ㡢¼ì²âÒªÁìÇáÓ¯µÈÓŵ㣬Òò´ËÔÚÒ©ÎïADMEÑо¿ÖлñµÃÁËÆÕ±éµÄÓ¦Óã¬ÇÒÃÀ¹úFDAÔçÒѽ«Í¬Î»Ëرê¼ÇÒ©Îï¸øÒ©ºóµÄÒ©¶¯Ñ§Êý¾Ý×÷ΪÐÂÒ©Çå¾²ÐÔÆÀ¼ÛµÄÖ÷ÒªÒÀ¾Ý£¬²¢Öƶ©ÁËÏà¹ØÖ¸ÄÏ¡£
ËäÈ»·ÅÉäÐÔÍ¬Î»ËØ±ê¼Ç»¯ºÏÎïÔÚ¶¨Á¿ÆÊÎöѸËÙ¶È·½ÃæÒª¸ßÓÚÎȹÌÍ¬Î»ËØ±ê¼ÇÎµ«ÎȹÌÍ¬Î»ËØ±ê¼ÇÊÔ¼Á½Ï·ÅÉäÐÔÍ¬Î»ËØ±ê¼ÇÊÔ¼Á¶øÑÔ£¬½ÏÖ÷ÒªµÄÓŵãÔÚÓÚÎÞ·ÅÉäÐÔ¡¢ÎÞÐèÖØ´óµÄ·Å»¯×°±¸¼°·À·øÉä·À»¤²½·¥£¬ÇÒÎÞÇéÐÎÎÛȾ¡£
ÔÚÏÖʵӦÓÃÖУ¬ë®´ú»¯ºÏÎï×÷ΪÎȹÌÍ¬Î»ËØÄڱ껯ºÏÎïÒѾÆÕ±éÓÃÓÚ½â¾öͨÀýÆÊÎöÒªÁìÎÞ·¨½â¾öµÄÆÊÎöÄÑÌ⣬¸üÖ÷ÒªµÄÊÇ¿ÉÓÃ×÷ʾ×Ù¼Á£¬´Ó¶øÀ´Ñо¿Ò©ÎïÔÚÌåÄÚµÄÂþÑÜ¡¢´úл¡¢ÁÆÐ§¡¢×÷ÓûúÖÆµÈ£¬ÎªÒ©ÎïµÄÒ©´ú¶¯Á¦Ñ§Ñо¿ÌṩÖ÷ÒªµÄÒÀ¾Ý£¬Í¬Ê±ÎªÁ¢ÒìÒ©ÎïµÄÑз¢ÌṩҪÁì¡£
Ïà±ÈÀàËÆÎïÄڱ꣬뮴ú»¯ºÏÎï×÷ΪÎȹÌÍ¬Î»ËØÄÚ±ê¾ßÓÐÖÚ¶àÓŵãºÍÓÅÒìµÄÐÔÄÜ£¬µ«Ñ¡È¡ë®´úÄڱ껯ºÏÎïÐèÒªÒª×¢ÖØë®Ô×ÓÈ¡´úµÄλÖã¬Ó¦ÖÐÑ¡ÔñÈ¡´úÎȹ̹ÙÄÜÍŽṹµÄλÖã¬ÒÔÈ·±£ÑùÆ·ÔÚÖÆ±¸Àú³ÌÖв»±¬·¢ë®-Çâ½»Á÷¡£
ΪÁ˽µµÍÍ¬Î»ËØ×ÌÈŵÄÓ°Ïì£¬Í¬Î»ËØÄÚ±ê×îºÃÖÁÉÙÒª±Èδ±ê¼ÇµÄÆÊÎöÎïºá¿ç4-5¸öÖÊÁ¿µ¥Î»¡£

ͼ2.ë®´úÍ¬Î»ËØÄڱ껯ºÏÎïʵÀý
ÏÖÔÚë®´ú»¯ºÏÎï»ù±¾É϶¼ÊÇ̼뮼üÏàÁ¬µÄ»¯ºÏÎËüµÄºÏ³ÉÔÔòÉÏ¿ÉÒÔ·ÖΪ뮴úÊÔ¼ÁÆ´½Ó·¨ºÍ̼뮼ü»¯Ñ§ºÏ³É·¨¡£
ë®´úÊÔ¼ÁÆ´½Ó·¨ÊÇÔËÓÃͨË׵Ļ¯Ñ§·´Ó¦ÔÀí£¬½«º¬ÓÐë®ÔªËصÄÊÔ¼Áͨ¹ý»¯Ñ§ºÏ³ÉÀ´ÖƱ¸ËùÐèÒªµÄë®´ú»¯ºÏÎï¡£³£ÓõÄë®´úÊÔ¼ÁÓÐë®´úµâ¼×Í顢뮴ú¼×´¼¡¢ë®´ú¼×°·¡¢ë®´úÒÒ´¼¡¢ë®´úN,N-¶þ¼×»ù¼×õ£°·¡¢ë®´ú±ûͪ£¬ë®´ú±½¡¢ë®´ú±½°·£¬ë®´ú±½ÅðËᣬ뮴ú±±½µÈ¡£
¸ÃÒªÁì²»ÐèÒª¹¹½¨Ì¼ë®¼ü£¬ºÏ³ÉÏ൱¼òÆÓ£»µ«ÓÉÓÚÉÌÆ·»¯µÄë®´úÊÔ¼ÁµÄÖÖÀàÓÐÏÞ£¬ËùºÏ³ÉµÄë®´ú»¯ºÏÎïµÄ½á¹¹ÀàÐͼòµ¥£¬²»¿ÉÖª×ãÈËÃǶÔÖØ´ó»¯ºÏÎï½á¹¹¾ÙÐÐë®´úµÄÐèÇó¡£

ͼ3. ë®´úÊÔ¼ÁÆ´½Ó·¨ÊµÀý
̼뮼üµÄ»¯Ñ§ºÏ³ÉÖ÷Òª·ÖΪÁ½´óÀࣺÇâÍ¬Î»ËØ½»Á÷·´Ó¦£¨HIE£©ÒÔ¼°·ÇÇâÍ¬Î»ËØ½»Á÷·´Ó¦£¬½øÒ»²½µÄÓÖ¿ÉÒÔϸ·ÖΪ£ºËá/¼î´ß»¯·´Ó¦¡¢½ðÊô´ß»¯·´Ó¦¡¢»¹ÔÐÔë®ÊÔ¼Á¶Ô²»±¥ºÍ¼üµÄ»¹Ô·´Ó¦¡¢È¥¹ÙÄÜ»¯ë®´ú·´Ó¦µÈ¡£
ôÊ»ùÁÚλ̼Çâ¼üµÄËáÐÔ½ÏÁ¿Ç¿£¬ÔÚ¼îµÄ×÷ÓÃÏ¿ÉÓëë®´úË®±¬·¢Çâ뮽»Á÷·´Ó¦¡£

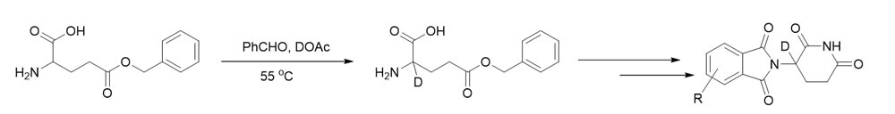
ͼ4. ë®´úɳÀû¶È°·£¨Thalidomide£©ÀàËÆÎïµÄºÏ³É
Ëæ×Źý¶É½ðÊô´ß»¯²»Éú¶¯Ì¼£®Çâ¼ü·´Ó¦µÄÒ»Ö±ÉîÈëÑо¿£¬¹ØÓÚ²»Éú¶¯µÄ̼һÇâ¼ü»¯ºÏÎҲ¿ÉÔÚ¹ý¶É½ðÊôµÄ´ß»¯Ï¾ÙÐÐÇâ뮽»Á÷·´Ó¦£¬ÕâЩҪÁìÒ²Öð½¥Ó¦ÓÃÓÚë®±ê¼ÇÒ©Îï·Ö×ӵĺϳɡ£

ͼ5. ë®´úßÅßᣨIndole£©µÄºÏ³É
³ýͨÀýµÄîÙ¡¢Äø´ß»¯¼ÁÍ⣬ҿ/îÉ´ß»¯µÄÇâ뮽»Á÷·´Ó¦¡£

ͼ6. ë®´úÈüâÙण¨Cyproheptadine£©µÄºÏ³É
µ±Ò©ÎïµÄºÏ³Éõè¾¶Öк¬Óл¹Ô·´Ó¦£¬¿ÉʹÓû¹ÔÐÔë®´úÊÔ¼Á£¬Èçë®Æø¡¢ë®»¯ï®ÂÁ¡¢Åðë®»¯ÄƵȶԲ»±¥ºÍ¼ü¾ÙÐл¹Ô£¬´Ó¶ø»ñµÃë®Ô×Ӽӳɵ½²»±¥ºÍ¼üÉϵIJúÆ·£¬È»ºóͨʺóÐøµÄת»¯·´Ó¦ÌìÉúÄ¿µÄë®´úÒ©Îï¡£

ͼ7. ë®´úÒÒ´¼°·£¨Monoethanolamine£©µÄºÏ³É

ͼ8. ë®´úÀ³¿Ë¶à°Í°·(Ractopamine)µÄºÏ³É
¶Ôº¬ÓÐ̼±¼üµÄ»¯ºÏÎÔÚîÙÌ¿´ß»¯Ï¿ÉÒÔ±¬·¢»¹ÔÍѱ·´Ó¦£¬ÈôÊÇÓÃë®Æø×÷Ϊë®Ô´£¬Ôò»ñµÃÂ±ËØ±»ë®È¡´úµÄ²úÆ·¡£

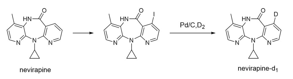
ͼ9. ë®´úÄÎΤÀƽ£¨Nevirapine£©µÄºÏ³É
¹ØÓÚº¬ÓÐÅðµÄ»¯ºÏÎÆäÓëë®Àë×Ó¾ÙÐÐ뮽ⷴӦʱ£¬ë®¿ÉÒÔÌæ»»ÅðµÄλÖ㬴ӶøÌìÉúÏìӦλµãµÄë®´ú²úÆ·¡£Ê¹ÓÃÕâÒ»ÔÀí£¬¿ÉÒÔÏȺϳÉÄ¿µÄë®´úÒ©ÎïÖÐÏëҪ뮴úλµãµÄÅ𻯲úÆ·£¬È»ºó¾ÙÐÐ뮽ⷴӦ£¬ÌìÉúÏìÓ¦µÄë®´úÒ©Îï¡£

ͼ10. ë®´úÂÈßÁ¸ñÀ×£¨Clopidogrel£©µÄºÏ³É
ë®´ú»¯ºÏÎïÔÚÉúÎïѧ¡¢Ò©Ñ§¡¢Ò½Ñ§µÈÁìÓòʩչ×ÅÖ÷Òª×÷Ó㬿ª·¢Ñ¡ÔñÐԺϳÉÌØ¶¨Î»µãµÄë®´ú±ê¼Ç»¯ºÏÎïµÄÒªÁ죬¾ßÓÐÖ÷ÒªµÄѧÊõÒâÒåºÍÓ¦ÓÃÔ¶¾°¡£¹ØÓÚ»¯Ñ§ºÏ³É·¨À´Ëµ£¬Éú³¤ÐÂÐ͵Ĵ߻¯ÏµÍ³¼°¿ª·¢ë®´úÊÔ¼Á²¢ÉÌÆ·»¯£¬¿ÉÒÔÔ½·¢ÓÐÓõØËõ¶Ì·´Ó¦°ì·¨£¬ÓÅ»¯·´Ó¦Â·¾¶£¬´Ó¶ø¸ü¸ßЧµØºÏ³Éë®´úÄ¿µÄ»¯ºÏÎ½«Íƶ¯ë®´úÒ©Î﹤ҵµÄ¿ìËÙÉú³¤¡£
Ïà¹ØÐÂÎÅ