¡°ÉñÒ©¡±¶þ¼×Ë«ëÒÔٴγöÂí£¬Õâ´ÎËüµÄÄ¿µÄ¾¹ÊÇйڣ¡
Ã÷ÄáËÕ´ï´óѧҽѧԺºÍUnited Health GroupµÄÑо¿Ö°Ô±·¢Ã÷£¬ÔÚÌìÏÂÉÏ×î´óµÄÒ»ÏîÕë¶ÔCOVID-19»¼ÕßµÄÊÓ²ìÐÔÑо¿ÖУ¬¶þ¼×Ë«ëÒÓëÏÔÖø½µµÍÅ®ÐÔCOVID-19éæÃüΣº¦Ïà¹Ø¡£
¶þ¼×Ë«ëÒÊÇÓÃÓÚ¿ØÖÆ2ÐÍÌÇÄò²¡»¼ÕßѪÌÇˮƽµÄͨÓÃÒ©Îï¡£Ëü»¹¿ÉÒÔïÔÌÑ×Ö¢ÂѰף¬ÈçËÆºõ¿ÉʹCOVID-19ÇéÐζñ»¯µÄÖ×Áö»µËÀÒò×Ó-¦Á¡£¸ÃÑо¿¿ËÈÕÒѽÒÏþÔÚ¡¶The Lancet¡·ÔÓÖ¾ÉÏ£¬ÕâÊÇÒ»Ïî»ùÓÚUnited Health Group»¼ÕßµÄÊý¾ÝµÄÅÅÁÐÆÊÎö¡£
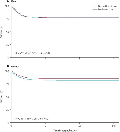
Ñо¿Ð¡×éÆÊÎöÁËÔ¼6000ÃûÒòCOVID-19¶ø×¡ÔºÖÎÁƵÄ2ÐÍÌÇÄò²¡»ò·ÊÅÖ»¼Õߣ¬²¢ÆÀ¹ÀÁËʹÓöþ¼×Ë«ëÒÊÇ·ñÓë½µµÍéæÃüÂÊÏà¹Ø¡£ËûÃÇ·¢Ã÷ÁËÒ»¸ö¹ØÁª£¬ÌÇÄò²¡»ò·ÊÅÖµÄÅ®ÐÔ£¬ÒòCOVID-19¼²²¡×¡Ôº£¬²¢ÇÒÔÚסԺǰ·þÓÃÁË90ÌìµÄ¶þ¼×Ë«ëÒ´¦·½£¬Ó벻ƽÓøÃÒ©µÄÀàËÆ¸¾Å®Ïà±È£¬éæÃüÂʽµµÍÁË21%µ½24%¡£ÄÐÐÔéæÃüÂÊûÓÐÏÔÖø½µµÍ¡£
ÄÐÐÔ£¨A£©ºÍÅ®ÐÔ£¨B£©µÄKaplan-MeierÉúÑÄÇúÏߣ¨ÈªÔ´:The Lancet£©
ûʹÓöþ¼×Ë«ëÒµÄÈËÓëʹÓöþ¼×Ë«ëÒµÄÈ˵ÄÉúÑÄÂʾÙÐнÏÁ¿£¨ÈªÔ´:The Lancet£©
ÔÚCox±ÈÀýΣº¦Ä£×ÓÖУ¬TNF¦ÁÒÖÖÆ¼ÁÓëéæÃüÂʽµµÍÎÞÏÔ×ÅÏà¹ØÐÔ£»ÔÚÇãÏòÆ¥ÅäÄ£×ÓÖУ¬Óë¶þ¼×Ë«ëÒÆÊÎöÏàͬµÄ±äÁ¿ÏàÆ¥Å䣬TNF¦ÁÒÖÖÆ¼ÁÓëéæÃüÂʽµµÍÎ޹ء£ÔÚ½öÓëÄêËê¡¢ÐԱ𡢲é¶ûɺϲ¢Ö¢Ö¸Êý¡¢Ñ×ÐÔ³¦²¡¡¢Àà·çʪÐÔÊàŦÑ׺ÍϵͳÐÔºì°ßÀÇ´¯ÏàÆ¥ÅäµÄÇãÏòÄ£×ÓÖУ¬TNF¦ÁÒÖÖÆ¼ÁÓëéæÃüÂʽµµÍÏÔÖøÏà¹Ø¡£Ðí¶àÆäËû±äÁ¿ÓëËÀÓÚCOVID-19µÄΣº¦ÔöÌí»ò½µµÍÓйأ¬ÓÈÆäÊÇÑ×Ö¢ÐÔ³¦²¡ºÍÓæÂ2¼¤¶¯¼ÁÖÎÁƵÄÏø´¡£
¡°ÏñÕâÑùµÄÊÓ²ìÑо¿²»¿ÉµÃ³ö½áÂÛ£¬µ«ÓÐÖúÓÚÒ»Ö±ÔöÌíµÄÖ¤¾Ý¡£ÓëÄÐÐÔÏà±È£¬Å®ÐԵı£»¤×÷Óøü´ó£¬Õâ¿ÉÄÜÒâζ×ÅÏûÑ×ÊǶþ¼×Ë«ëÒ½µµÍ¸ÐCOVID-19Σº¦µÄÒªº¦Í¾¾¶¡£²»¹ý£¬»¹ÐèÒª¸ü¶àµÄÑо¿¡£¡±Ã÷ÄáËÕ´ï´óѧҽѧԺҽѧϵÖúÀí½ÌÊÚ¡¢Ò½Ñ§²©Ê¿¿¨ÂÞÁÕ¡¤²¼ÀÂüÌØ£¨Carolyn Bramante£©ËµÁýÕÖ²î±ðµØÀíÇøÓòµÄ´óÐÍÊý¾Ý¿âºÜÉÙ¿ÉÓá£
United Health GroupÆóÒµÑз¢²¿Ö´Ðи±×ܲÃDeneen Vojtaҽѧ²©Ê¿ÌåÏÖ£¬ËäÈ»ÏÖÔÚÕýÔÚ¿ª·¢ÓÐÓõÄÖÎÁÆÒªÁìÀ´¼õÇáSARS-CoV-2²¡¶¾µÄΣº¦£¬µ«Ò²±ØÐèѰÕÒ²¢ÆÀ¹À¾ßÓÐÓÅÒìÇå¾²ÐԵij£ÓÃÒ©ÎÒÔÆÀ¹ÀÆä¿¹²¡¶¾µÄDZÁ¦¡£
×ÜÖ®ÓëÄÐÐÔÏà±È£¬¶þ¼×Ë«ëÒ¹ØÓÚCOVID-19סԺµÄÅ®ÐÔ¾ßÓиüÏÔÖøµÄ±£»¤×÷Ó᣶þ¼×Ë«ëÒ¾ßÓÐÓÅÒìµÄÇå¾²ÐÔ¼°¿ÉÓÃÐÔ£¬½ÓÏÂÀ´ÐèÒª¶ÔCOVID-19µÄ»¼Õß¾ÙÐÐǰհÐÔÆÀ¹À£¬ÒÔÏàʶ¸üÓÐÀûµÄ»úÖÆ¡¢Ò©ÎïÒ»Á¬Ê±¼äºÍ×î¼ÑµÄÖÎÁÆÊ±»ú¡£¡°ÉñÒ©¡±»á³Ùµ½µ«ÓÀÔ¶²»»áȱϯ£¬ÆÚ´ý¶þ¼×Ë«ëÒÔÙÒ»´ÎΪÎÒÃÇ´øÀ´ÐµÄÏ£Íû°É£¡
ÁªÏµ×ðÁú¿Ê±
Email:
marketing@medicilon.com.cn
µç»°: +86 (21) 5859-1500£¨×Ü»ú£©

·ÖÏíµ½£º