×ðÁú¿­Ê±

EN
EN
  • ÓªÒµ×Éѯ

    Öйú£º

    Email: marketing@medicilon.com.cn

    ÓªÒµ×ÉѯרÏߣº400-780-8018

    £¨½öÏÞЧÀÍ×Éѯ£¬ÆäËûÊÂÒËÇ벦´ò´¨É³×ܲ¿µç»°£©

    ´¨É³×ܲ¿µç»°: +86 (21) 5859-1500

    ÍâÑó£º

    +1(781)535-1428(U.S.)

    0044 7790 816 954 (Europe)

    Email:marketing@medicilon.com

ÔÚÏßÁôÑÔ¡Á
µã»÷Çл»
News information
ÐÂÎÅ×ÊѶ

GLP-1¡°¾ºËÙÈü¡±ºÎÒÔ¶á¿ý£¿

2024-05-23
|
»á¼ûÁ¿£º

5ÔÂ21ÈÕ£¬Öйú¹ú¼ÒÒ©¼à¾Ö£¨NMPA£©¹ÙÍø×îй«Ê¾£¬ÀñÀ´¹«Ë¾µÝ½»µÄÌæ¶û²´ëÄ£¨Tirzepatide£¬ÉÌÆ·Ãû£ºÄ´ï·åMounjaro£©×¢ÉäÒºÉÏÊÐÉêÇëÒÑ»ñµÃÅú×¼£¬ÓÃÓÚÖÎÁƳÉÈË2ÐÍÌÇÄò²¡»¼ÕßѪÌÇ¿ØÖƵÄÔöÇ¿ÖÎÁÆ ¡£

´Ëǰ5ÔÂ16ÈÕ£¬ºãÈðÒ½Ò©Ðû²¼½«ÆìÏÂ×ÔÑÐGLP-1²úÆ·×éºÏµÄ´óÖлªÇøÍâÈ«ÇòÈ¨ÒæÊÚȨ¸øÃÀ¹úHercules¹«Ë¾ ¡£³ýÁË»ñµÃÊÚȨÓöÈ£¬´Ë´ÎBDÉúÒâºó£¬ºãÈ𻹽«³ÉΪÃÀ¹úHercules¹«Ë¾¹É¶«Ö®Ò»[1] ¡£

´Ë´ÎºãÈð×ÔÑÐ×éºÏ°üÀ¨Èý¿îGLP-1²úÆ· ¡£

? HRS9531

GLP-1R/GIPRË«°Ðµã¼¤¶¯¼Á£¬´¦ÓÚIIIÆÚÁÙ´²½×¶Î£¬ÆÀ¹ÀÆäÔÚ³¬ÖØ»ò·ÊÅÖÊÜÊÔÕßÖÐÒ»Á¬48ÖܵÄÓÐÓÃÐÔºÍÇå¾²ÐÔ ¡£Í¬°ÐµãÒ©ÎïÌæ¶û²´ëÄ£¨Tirzepatide£¬ÀñÀ´£©×èÖ¹2023Äê11Ô£¬ÔÚÃÀ¹úÍê³É2ÐÍÌÇÄò²¡ºÍ·ÊÅÖµÄ˫˳Ӧ֢Åú×¼£»5ÔÂ21ÈÕNMPA¹«Ê¾£¬Æä³ÉÈË2ÐÍÌÇÄò²¡Ë³Ó¦Ö¢ÒÑÔÚ»ª»ñÅú£¬ºã¾ÃÌåÖØÖÎÀí˳Ӧ֢ÉÐÔÚÉóÆÀÖÐ ¡£

? HRS-4729

ÏÂÒ»´ú³¦´ÙÒÈËØ²úÆ·£¬´¦ÓÚÁÙ´²Ç°¿ª·¢½×¶Î£¬¿Éͨ¹ý¼¤»î¶à°Ðµã£¬±£»¤ÒȵºµÄͬʱÌá¸ßÒȵºËØÉøÍ¸£¬¿ØÖÆÑªÌÇ£¬ÓÐÍûʵÏÖ¸üºÃµÄ¼õÖØÐ§¹ûºÍÖÎÁÆ´úл¹¦Ð§Õϰ­Ïà¹Ø¼²²¡ ¡£ÏÖÔÚÈ«ÇòÉÐÎÞͬÀà²úÆ·ÉÏÊÐ ¡£

? HRS-7535

ÐÂÐͿڷþС·Ö×ÓGLP-1ÊÜÌ弤¶¯¼Á£¬´¦ÓÚIIÆÚÁÙ´²½×¶Î£¬ÓÃÓÚÖÎÁÆ2ÐÍÌÇÄò²¡ºÍ·ÊÅÖ ¡£È«Çò¹æÄ£ÄÚÉÐÎÞ¿Ú·þС·Ö×ÓGLP-1ÊÜÌ弤¶¯¼ÁÉÏÊÐ ¡£

´Ë´ÎÉæ¼°µÄÈý¿îºãÈðGLP-1²úÆ·£¬¾ù¾ßÓвî±ð»¯Á¢ÒìÖ®´¦ ¡£

¹ØÓÚ¼´½«¼ÓÈë»òÕýÔÚÕⳡ¡°¾ºËÙÈü¡±ÖгÁ¸¡µÄGLP-1Íæ¼Ò£¬¸ÃÔõÑùÓ¦¶ÔÇ÷Ïò¶àÔª»¯µÄ¾ºÕùÌ¬ÊÆ£¿»ùÓڴ˴Ρ°¹ú²ú¡±GLP-1µÄÔ¾½ø£¬ÎÒÃǿɾÍÒÔÏÂÈýµã¿¼Á¿½á¹¹ ¡£

ÐÂÐͰÐÏò»úÖÆ

2024Äê5ÔÂ15ÈÕ£¬À´×Ôµ¤Âó¸ç±¾¹þ¸ù´óѧŵºÍŵµÂ»ù½ð»á»ù´¡´úлÑо¿ÖÐÐĵÄÑо¿Ö°Ô±ÔÚ¡¶×ÔÈ»¡·ÔÓÖ¾ÉϽÒÏþÁËÒ»ÖÖÁ¢ÒìµÄË«¹¦Ð§·Ö×Ó£ºGLP-1¨CMK-801µÄÖ÷ÒªÔ¤ÁÙ´²Ñо¿Ð§¹û[2] ¡£

GLP-1¨CMK-801µÄÖ÷ÒªÔ¤ÁÙ´²Ñо¿Ð§¹û.jpg

GLP-1Óë¼õÖØ£ºGLP-1ÊÜÌ弤¶¯¼Á²»µ«´Ì¼¤ÒȵºËØÉøÍ¸ÖÎÁÆÌÇÄò²¡£¬»¹ÄÜͨ¹ýÓ°Ïì´óÄÔÖÐÓë¿ä½±»ØÂ·Ïà¹ØµÄ¶à°Í°·ÐźÅͨ·À´ÒÖÖÆÊ³ÓûºÍµ÷¿ØÒûʳ ¡£

NMDAÊÜÌåÓë¼õÖØ£ºNMDAÊÜÌåÔÚÉñ¾­Í»´¥¿ÉËÜÐÔÖÐÆðÒªº¦×÷Óã¬Óë·ÊÅÖÓÐÁªÏµ ¡£ÔçÆÚÕë¶ÔNMDAÊÜÌåµÄ¼õÖØÖÎÁÆÒò¸±×÷Óã¨ÈçÌåÎÂÒì³£Éý¸ßºÍÌ«¹ý»îÔ¾£©¶øÊÜ×è ¡£

GLP-1¨CMK-801ͨ¹ýÒ»ÖÖÌØÊâµÄ¶þÁò¼ü£¬½«NMDAÊÜÌåÞ׿¹¼ÁMK-801ÓëGLP-1ÀàËÆÎïÅþÁ¬ ¡£ÊµÑéÊý¾ÝÆðÔ´ÏÔʾ£¬ÆäÔÚ¼õÇáСÊóÌåÖØ¡¢ïÔÌ­ÌåÖ¬Á¿ºÍ½µµÍѪ½¬µ¨¹Ì´¼Ë®Æ½·½Ã棬±Èµ¥¶ÀʹÓÃGLP-1»òMK-801¸üÓÐÓà ¡£¶øÔÚÇå¾²ÐÔ·½Ã棬ʵÑéÊý¾ÝδÏÔʾ³ö¶ÔСÊóµÄ¸ÎÔ๦Ч¡¢ÐÄÂÉ¡¢¶¯ÂöѪѹºÍÐÄÔàÖØÁ¿±¬·¢²»Á¼Ó°Ï죬ÇÒδÊӲ쵽Ìåιý¸ß»òÌ«¹ýÔ˶¯µÄ¸±×÷Óà ¡£

×÷ΪһÖÖÐÂÐÍË«¹¦Ð§·Ö×Ó£¬GLP-1¨CMK-801ÏÔʾ³öÔÚ¼õÖØÖÎÁÆÁìÓòµÄÖØ´óDZÁ¦ ¡£¸ÃÑо¿Á¢ÒìµÄÒ©ÀíѧսÂÔÒÔ¼°Ò©Îïµ÷ÀíÉñ¾­Í»´¥¿ÉËÜÐԵķ¢Ã÷×ÅʵΪ¼õÖØÁìÓò´øÀ´Òªº¦ÐÔµÄÏ£Íû ¡£

µ«ÓÉÓÚʵÑéÖÐСÊó½ö½ÓÊÜÖÎÁÆÁ½ÖÜ£¬Æäºã¾ÃÓÐÓÃÐÔºÍÇå¾²ÐÔÈÔÐè½øÒ»²½ÑéÖ¤ ¡£±ðµÄ£¬¸ÃÒ©ÎïÔÚ¼õÖØÓë´úлÏà¹ØÐ­Í¬×÷ÓõÄÏêϸ»úÖÆ£¬ÒÔ¼°¸øÒ©¼Æ»®µÄÓÅ»¯£¬Ò²ÊÇδÀ´Ñо¿µÄÖ÷ҪƫÏò ¡£

ÍØ¿íË³Ó¦Ö¢ÖÆ

2024Äê4ÔÂ30ÈÕ£¬¶íÂÞ˹¿ÆÑ§¼ÒÔÚ¡¶¹ú¼Ê·Ö×Ó¿ÆÑ§ÔÓÖ¾¡·½ÒÏþÁ˽üÄêÀ´GLP-1ÊÜÌ弤¶¯¼ÁÐÄѪ¹Ü±£»¤×÷ÓÃÑо¿Ï£ÍûµÄϵͳÊáÀí£¬ÌáÐÑÁËGLP-1ÊÜÌ弤¶¯¼ÁÔÚÐÄѪ¹Ü±£»¤·½ÃæµÄ×÷Óò»µ«½öÊǼõÖØºÍ½µÌÇ´øÀ´µÄ¼ä½ÓÀûÒæ[3] ¡£

GLP-1ÊÜÌ弤¶¯¼ÁÔÚÐÄѪ¹Ü±£»¤·½ÃæµÄ×÷ÓÃ.jpg

GLP-1ÀàËÆÎïÔÚ2ÐÍÌÇÄò²¡ÖÎÁÆÖУ¬²»µ«¿ÉÒÔ¿ØÖÆÑªÌÇ¡¢ÌåÖØ£¬¸üÖ÷ÒªµÄÊÇ¿ÉÒÔͨ¹ý¼¤»îÐÄѪ¹Ü×éÖ¯µÄGLP-1ÊÜÌ壬¶à;¾¶¡¢¶à»·½ÚÖ±½Ó±£»¤ÐÄѪ¹Ü£¬°üÀ¨ÒÖÖÆÐļ¡Ï¸°ûéæÃü£¬¸ÄÉÆÐļ¡ÄÜÁ¿´úл£¬¼õÇáÑ×Ö¢ºÍÑõ»¯Ó¦¼¤µÈ£¬Óɴ˿ɸÄÉÆÐĹ£¡¢ÐÄË¥µÈÐÄѪ¹Ü¼²²¡µÄÔ¤ºó£¬ÓÐÍûÍÆ¶¯ÒÔGLP-1Ϊ»ù´¡µÄÈ«ÐÂÐÄѪ¹Ü¼²²¡·ÀÖÎÕ½ÂÔºÍÒ©ÎïµÄ½µÉú ¡£

½ñÄê5ÔÂ8ÈÕ£¬FDAÕýʽÅú×¼ÁË˾ÃÀ¸ñ³ëÄ£¨ÉÌÆ·Ãû£ºWegovy£¬ÅµºÍŵµÂ£©ÓÃÓÚÐÄѪ¹Ü¼²²¡µÄÖÎÁÆ ¡£ÍØ¿í˳Ӧ֢£¬»ò³ÉGLP-1ÃǵıØÕùÖ®µØ ¡£

½èÁ¦³åÏß

ΪÁËÐγɲî±ð»¯ÓÅÊÆ£¬Ó¦³ä·Ö½èÖúCROÆóÒµµÄʵÁ¦£¬Ëõ¶Ì¿ª·¢ÖÜÆÚ¡¢Ìá¸ß¿ª·¢Ð§ÂÊ ¡£

×ðÁú¿­Ê±ÒÀÍжþÊ®Äê»ýÀÛÐγɵÄÊÖÒÕÓÅÊÆºÍÑз¢Æ½Ì¨ÓÅÊÆ£¬Î§ÈÆGLP-1ÐÂÒ©Ñз¢ÐèÇóÒ»Ö±ÍØÕ¹¹¤ÒµÁ´ÉÏÏÂÓÎÁìÓò£¬Å䱸ÓзÖ×Ó¿Ë¡ÊÒ¼°»ùÓÚÂѰ×Öʾ§ÌåѧµÄÒ©Îï·¢Ã÷Óëɸѡƽ̨ºÍGMP»ò·ÇGMPÖÆ¼Á³µ¼ä£¬½¨ÉèÁË·ÊÅÖ¼°ÌÇÄò²¡´ó/СÊóÄ£×Ó£¬ÐÎÓñ³É·½Î»Ò»Ì廯µÄÁÙ´²Ç°CROЧÀÍģʽ ¡£

×èÖ¹2024Äê4Ô£¬×ðÁú¿­Ê±ÒÑÀÖ³ÉÖúÁ¦8¸öGLP-1Ò©Îï»ñÅúÁÙ´²£¬ÆäÖУº3¸öGLP-1Ò©ÎïNMPA/FDAͬʱ»ñÅú£¬1¸öGLP-1Ò©Îï»ñµÃÃÀ¹úFDA¡¢ÖйúNMPA¡¢°ÄÖÞTGAÈý¹úÅú×¼£¬ÁíÍâÓжà¸öGLP-1ÏîÄ¿ÔÚÑУ¬ÔÚÏà¹ØÁìÓò»ýÀÛÁ˸»ºñµÄÂÄÀú ¡£

GLP-1 ҩѧÑо¿

ÏÖÔÚԼĪ80%µÄÂѰ׶àëÄҩͨ¹ý×¢Éä;¾¶¸øÒ© ¡£Îª¸ÄÉÆ¶àëÄÀàÒ©ÎïÎȹÌÐÔ£¬ÑÓÉì¶àëÄÒ©ÎïµÄÌåÄÚ°ëË¥ÆÚ£¬Ê¹Æä³¤Ð§»¯£¬³ýÁ˶ԶàëľÙÐзÖ×ӽṹµÄˢУ¬Èç½ÓÄɰ±»ùËáÌæ»»»ò»·»¯¡¢PEGÐÞÊΡ¢Èںϳ¤Ð§»¯Æ¬¶Ï£¨ÓëFcÈںϡ¢ÓëÈËѪÇå°×ÂѰ×Èںϣ©¡¢×ººÏÖ¬·¾ËáÁ´µÈÕ½ÂÔ ¡£»¹¿Éͨ¹ýÖÆ¼ÁѧÊֶθÄÉÆ¶àëÄÀàÒ©ÎïµÄÎüÊÕ²¢Ê¹Æä³¤Ð§»¯£¬Äܹ»ÓÐÓÃËõ¶ÌÒ©Æ·Ñз¢ÖÜÆÚ¡¢½µµÍÒ©Æ·Ñз¢±¾Ç®£¬Ò²¿ÉÄÜΪҩÎïʹÓÿª·¢ÐµÄ˳Ӧ֤ ¡£

×¢ÉäÐͶàëÄÒ©ÎïÖ÷ÒªÖÆ¼ÁÀàÐÍΪ¶³¸É·Û ¡£½üÄêÀ´£¬Ëæ×ÅÖÖÖÖµÝҩϵͳµÄÉú³¤£¬Ñо¿Ö°Ô±¿ª·¢Á˶àëÄÒ©Îï¶àÖÖ²î±ðµÄÖÆ¼ÁÀàÐÍ£¬·ºÆð³ö¶àÖÖ¸øÒ©Í¾¾¶ ¡£ÏÖÔÚ¶àëÄÒ©ÎïÖÆ¼ÁÓÐ×¢ÉäÓÃ΢Çò¡¢Ö²Èë¼Á¡¢»ºÊÍÖ¬ÖÊÌ塢΢Èé¡¢ÄÉÃ×Á£¡¢¿Ú·þ³¤Ð§Æ¬¼Á/½ºÄÒ¼Á ¡¢¿Ú·þ΢Á£¡¢ ΢ÕëÌù¼Á ¡¢¾­Æ¤Î¢Á£¸øÒ©ÏµÍ³µÈ ¡£

×ðÁú¿­Ê±¿ÉÌṩGLP-1Ò©ÎïµÄÖÊÁÏÒ©¹¤ÒÕ¿ª·¢ºÍÖÆ¼ÁÑз¢Ð§ÀÍ ¡£ÔÚÈ·±£Ñз¢ÖÊÁ¿µÄ»ù´¡ÉÏ£¬×ðÁú¿­Ê±ÍŶÓͨ¹ýÑϽ÷µÄÊÔÑ鼯»®Éè¼Æ£¨DOE£©¡¢×¨Òµ»¯µÄÑз¢ÊÖÒÕ¡¢±ê×¼»¯µÄÏîÄ¿ÖÎÀí¡¢¹æ·¶»¯µÄÊÔÑé²Ù×÷¡¢¸ßЧµÄ¶à·½Ïàͬ£¬Ò»Á¬ÖúÁ¦¿Í»§µÄGLP-1Ò©ÎïÑз¢ ¡£

GLP-1 ҩЧѧÆÀ¼Û

×ðÁú¿­Ê±¶àÄêÀ´Éî¸û¶¯ÎïÁìÓò£¬ÎªÒ©ÎïÑз¢ÌṩºÏÊʵ͝ÎïÄ£×Ó£¬ ¿ÉÌṩ¶àÖÖÓÃÓÚÆÀ¹ÀGLP-1Ò©ÎïµÄÌÇÄò²¡Ä£×Ó¼°·ÊÅÖÄ£×Ó£¬ÔÚAAALACÈÏÖ¤µÄÇéÐÎÏÂÍê³ÉÄ£×Ó¶¯ÎïµÄ½¨Ä£ºÍËÇÑø£¬²¢ÒÔGLP-likeµÄ¸ß±ê×¼Íê³ÉÏà¹ØÒ©Ð§Ñ§ÆÀ¼ÛÊÔÑé ¡£

? ¶àÖÖʵÑ鶯Îï
Äö³ÝÀࣺСÊó/´óÊó¡¢ÍÃ×Ó
·ÇÄö³ÝÀࣺ±È¸ñÈ®¡¢Ð¡ÐÍÖí¡¢·ÇÈËÁ鳤ÀදÎï

? ×ðÁú¿­Ê±°¸Àý£º»îÐÔGLP-1¼ì²â
ÕâÏîÑо¿ÊÇÔÚһС²¿·ÖÑ¡¶¨µÄѪÌÇÕý³£¿µ½¡ÊÜÊÔÕßÖоÙÐеÄ ¡£±¾´ÎÑо¿ÓÉÖÐÄÏ´óÑ§ÏæÑÅҩѧԺ¡¢ÄϾ©Ò½¿Æ´óѧµÚÒ»Á¥ÊôÒ½Ôº¡¢Ê¢ÊÀÌ©¿ÆÉúÎïÒ½Ò©ÊÖÒÕ£¨ËÕÖÝ£©ÓÐÏÞ¹«Ë¾¡¢±±¾©ÅµºÍµÂÃÀÒ½Ò©ÊÖÒÕÓÐÏÞ¹«Ë¾ÁªºÏ¾ÙÐУ¬ÆäÖлîÐÔGLP-1¼ì²âͨ¹ý×ðÁú¿­Ê±¾ÙÐÐ ¡£

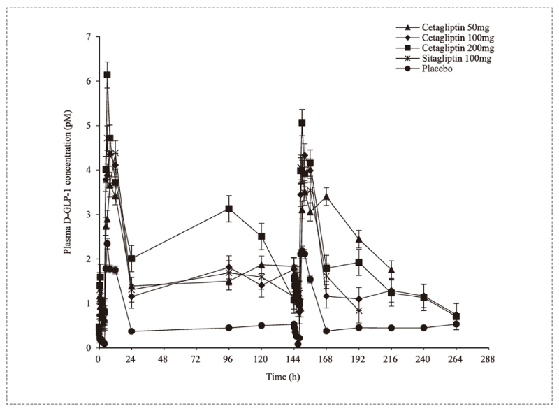
ʵÑéЧ¹ûÅú×¢£¬Ê¢¸ñÁÐÍ ¡£¨Cetagliptin£©ÔÚ¼ÁÁ¿¡Ý50mgʱÌìÌì¸øÒ©Ò»´ÎÌåÏÖ³ö×îСµÄ»ýÀÛ£¬ÔÚ24Сʱ¸øÒ©¾àÀëÄÚÒÖÖÆÑª½¬DPP-4»îÐÔµÖ´ï80%ÒÔÉÏ£¬ÇÒÔöÌí»îÐÔGLP-1ˮƽ¶ø²»±¬·¢µÍѪÌÇ ¡£ÇÒÊ¢¸ñÁÐÍ ¡£¨Cetagliptin£©¾ßÓÐÓÅÒìµÄÁÙ´²ÄÍÊÜÐÔºÍÇå¾²ÐÔ ¡£

»îÐÔD-GLP-1¼ì²â.jpg

»îÐÔD-GLP-1¼ì²â

GLP-1 Ò©´ú¶¯Á¦Ñ§ÆÀ¼Û

×ðÁú¿­Ê±ÔÚGLP-1Ïà¹ØÒ©ÎïµÄÌåÄÚÆÊÎöÖÐÌṩÁ˶àÖÖ¸ßÖÊÁ¿µÄ²âÊÔÒªÁ죬̫ͨ¹ýÎö¶¯ÎïÌåÄÚÊÕÂÞµÄѪ½¬/ѪÇåÑù±¾£¬Îª¿Í»§Ìṩ¿É¿¿ÓÅÖʵÄPKÊý¾Ý ¡£

Compound-A-µÄÒ©´ú¶¯Á¦Ñ§²ÎÊý.jpg

Compound A µÄÒ©´ú¶¯Á¦Ñ§²ÎÊý

ʵÑéЧ¹ûÏÔʾ£¬Ñª½¬Ò©Îï̻¶Á¿£¨Cmax ºÍAUC(0-t)£©µÄÔöÌíÓë¸øÒ©¼ÁÁ¿µÄÔöÌí±ÈÀý»ù±¾Ò»Ö ¡£µ¥´ÎƤϸøÓè0.04mg/kg µÄ±ÈÕÕÆ·×¢ÉäÒººÍ0.04 mg/kg µÄCompound A×¢ÉäÒººó£¬Ïà¶ÔÉúÎïʹÓöÈΪ83.17% ¡£

×ðÁú¿­Ê±²¿·ÖÖúÁ¦GLP-1ÏîÄ¿°¸Àý

? MDR-001
2023Äê4ÔÂ20ÈÕ£¬¾ÝCDE¹ÙÍø£¬µÂî£ÖÇÒ©¿Æ¼¼MDR-001Ƭ»ñÅúÁÙ´²£¬Ä⿪չÖÎÁÆ2ÐÍÌÇÄò²¡ºÍ·ÊÅÖ»ò³¬ÖØ»¼ÕßµÄÌåÖØÖÎÀíµÄÑо¿ ¡£MDR-001ÊǵÂî£ÖÇҩͨ¹ýÆäAIÇý¶¯Ò©Îï·¢Ã÷ƽ̨Molecule Pro¿ª·¢µÄÒ»¿î·Ç¾ºÕùÐÔ¿Ú·þGLP-1RС·Ö×Ó¼¤¶¯¼Á£¬ÒÑÓÚ2022Äê12Ô»ñFDAÅú×¼¿ªÕ¹ÁÙ´² ¡£ÁÙ´²Ç°Ñо¿ÏÔʾ£¬MDR-001¾ßÓÐÓÅÒìµÄҩЧºÍÑ¡ÔñÐÔ£¬ÓÅÒìµÄADMEºÍ¿Ú·þÉúÎïʹÓöÈÒÔ¼°¸üÓŵÄÒ©´ú¶¯Á¦Ñ§ÌØÕ÷£¬¾ß±¸best-in-classDZÁ¦ ¡£

×÷ΪµÂî£ÖÇÒ©µÄÏàÖúͬ°é£¬×ðÁú¿­Ê±ÎªMDR-001ÌṩÁËÖÊÁÏÒ©¹¤ÒÕ¿ª·¢ºÍÖÆ¼ÁÑз¢Ð§ÀÍ ¡£ÔÚÈ·±£Ñз¢ÖÊÁ¿µÄ»ù´¡ÉÏ£¬×ðÁú¿­Ê±Í¨¹ýÑϽ÷µÄÊÔÑ鼯»®Éè¼Æ¡¢×¨Òµ»¯µÄÑз¢ÊÖÒÕ¡¢±ê×¼»¯µÄÏîÄ¿ÖÎÀí¡¢¹æ·¶»¯µÄÊÔÑé²Ù×÷¡¢¸ßЧµÄ¶à·½Ïàͬ£¬¼ÓËÙÁËÑз¢Àú³Ì£¬¶ÔÕâÒ»ÖØÁ¿¼¶GLP-1R¼¤¶¯¼Á»ñÅúÁÙ´²×ö³öÁË×Ô¼ºµÄТ˳ ¡£

? ¸ü¶à°¸ÀýÍÆ¼öÔĶÁ£º×ðÁú¿­Ê±Ò»Õ¾Ê½¡°GLP-1¡±ÐÂÒ©Ñз¢Ð§ÀÍÄÜÁ¦ÏÈÈÝ

²Î¿¼×ÊÁÏ£º
[1]ºãÈðÒ½Ò©¹Ù·½¹ûÕæ×ÊÁÏ
[2]https://www.nature.com/articles/s41586-024-07419-8
[3]https://pubmed.ncbi.nlm.nih.gov/38732142/

Ïà¹ØÐÂÎÅ
¡Á
ËÑË÷ÑéÖ¤
µã»÷Çл»
¡¾ÍøÕ¾µØÍ¼¡¿¡¾sitemap¡¿